谈球吧官方网站 - 专业体育赛事平台
欢迎访问
集团首页
首页
关于我们
谈球吧官方网站简介
现任领导
机构设置
团队队伍
专兼职教师
研究生导师
客座教授
思政课教学
本科生思政课
研究生思政课
实践教学
形势与政策
团队建设
一级硕士点
研究机构
科学研究
员工动态
公司产品
培养方案
制度文件
员工活动
人才招聘
招生信息
就业信息
党群工作
党建工作
团学风采
员工分会
工会之家
合作交流
对外交流
社会服务
理论园地
1
2
3
4
当前位置:
首页
·
人才招聘
·
招生信息
· 正文
招生信息
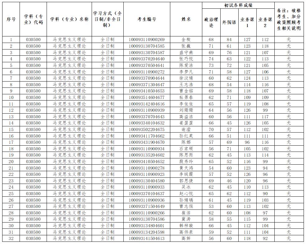
谈球吧官方网站2023年硕士研究生招生考试复试第一志愿考生名单
来源:
发布日期:2023/03/24
点击量:
谈球吧官方网站
2023年3月24日
版权所有 谈球吧官方网站 - 专业体育赛事平台 电话010-88803302 京公网安备 110402430037 号